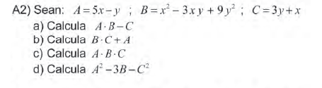
¿Me podrían resolver estos ejercicios (3)?

Con procedimiento.
1 respuesta
Respuesta de Lucas m
2

Con procedimiento.