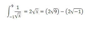
Es correcta mi respuesta en esta integral

Es correcto dejar la expresión así, ¿o tengo que realizar otro tipo de expresión?
2 Respuestas
                    Respuesta de Vicente Ochoa                
                
        
        
            
                1
              
        
        
        
            
            
        
    
                
                    Respuesta                 
                
        
        
            
                1
              
        
        
        
            
            
        
    
                

No corresponde poner + C porque la integral está definida - Anónimo