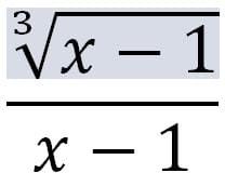
Determinar el limite de lim┬(x→2)
En la siguiente ecuación, para poder hallar el valor del limite cuando x=2

2 respuestas
Respuesta de Valero Angel Serrano Mercadal
2
Respuesta de Jorge Herrera
-1