Calculo transformadores, potencias, tensiones, corrientes
A ver si me pueden ayudar, principalmente el apartado c), lo demás creo que lo tengo. Muchas gracias
Se tiene un transformador de 5 kVA, 120/24 V, 50 Hz. Decir cuál es
(a) la relación de transformación
(b) las tensiones y corrientes nominales del primario y el secundario
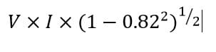
(c) la potencia aparente, reactiva y activa en el secundario, si en el primario se está midiendo una tensión de 110 V, una corriente de 2 A y una potencia de 180 W
1 respuesta
                    Respuesta de albert buscapolos Ing°                
                
        
        
            
                3
              
        
        
        
            
            
        
    
                


