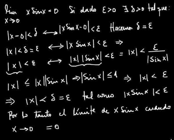
Definición formal de límite, cuando hay funciones trigonométricas
Demuestra a partir de la definición formal de límite que :
lim (x*sin(x)) = 0 cuando x tiende a 0
1 respuesta
Respuesta de Llaq Kmg
1
