Cálculos que me faltan y trato pero no puedo
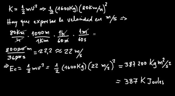
20. Calcular la energía de un automóvil que pesa 1600 kg a una velocidad de 80 km/h
2. Calcular la energía cinética de una manzana tirada con la mano por una persona que pesa 700g a una velocidad de 10m/s y la ultima
11. Calcular la energía de un auto querecorre a una velocidad de 5km/h un tramo de 50m y su peso es de 1000kg
                    Respuesta de Llaq Kmg                
                
        
        
            
                2
              
        
        
        
            
            
        
    
                1 respuesta más de otro experto
                    Respuesta de albert buscapolos Ing°                
                
        
        
            
                2
              
        
        
        
            
            
        
    
                