Elen Graziani

Elen Graziani

 Venezuela @elengraziani desde - visto

Preguntas

Pregunta en

El método de eliminación de Gauss – Jordan.

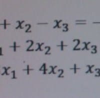
Resuelva los siguientes sistemas de ecuaciones utilizando El método de eliminación de Gauss – Jordan.
Sin respuestas
Pregunta en

Resuelva los siguientes sistemas de ecuaciones utilizando el método de eliminación de Gauss – Jordan.

Ejercicios sistemas de ecuaciones método de eliminación de Gauss – Jordan.
Pregunta en

Utilizando el método de eliminación gaussiana simple.

Resolver el siguiente sistemas de ecuaciones
Pregunta en y en 1 temas más

Determinar la transformada de laplace,Utilizar propiedades y tabla Enuncie las propiedades antes de resolver .

Enuncie las propiedades antes de resolver . Simplificar los resultados
Sin respuestas
Pregunta en y en 1 temas más

Utilizar la definicion de la transformada de laplace y resolver la siguiente funcion

Ejercicios
Sin respuestas
Pregunta en

Resolver el siguiente ejercicio de física del libro de schaum le las leyes de kirchhoff o mallas

Fisica Leyes de kirchhoff o mallas leyes de kirchhoff o mallas
Pregunta en

Leyes de KIRCHHOFF del libro de Schaum

S Ejercicio de circuitos eléctricos de schaum 10 edición