Como resolver el siguiente ejercicio de torema fundamental de calculo (integral definida) (7)
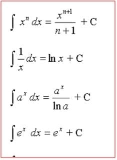
a) Use las siguientes formulas como guía sin tomar en cuenta la "c" ya que la integral es definida !

b) Resolver el siguiente ejercicio paso a paso.
7.
$$\begin{align}&\int_2^5e^{2x}dx\end{align}$$
1 respuesta
Respuesta de Valero Angel Serrano Mercadal
1
