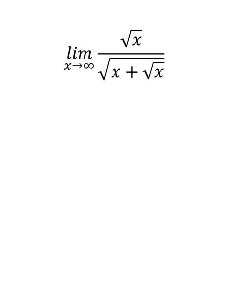
Es un ejercicio de Límite indeterminado por racionalización
Agradezco de su colbaoracion con la solución del siguiente ejercicio:

1 respuesta
Respuesta de Norberto Pesce
1
