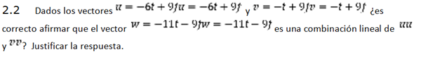
2.2 Dados los vectores y ¿Es correcto afirmar que el vector es una combinación lineal de y ? Justificar la re
Con base en la siguiente pregunta se debe justificar el desarrollo de la respuesta.

1 respuesta
Respuesta de Lucas m
Con base en la siguiente pregunta se debe justificar el desarrollo de la respuesta.
