Preguntas esperando respuesta
Actividad pública reciente
Ha valorado "Excelente" la respuesta
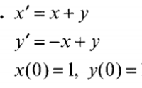
¿Como solucionar este ejercicio de sistema de ecuaciones diferenciales? Paso a paso
Ha valorado "Excelente" la respuesta
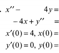
¿Como resolver este ejercicio de sistema de ecuaciones diferenciales con la transformada de Laplace?
Ha preguntado en el tema en
Matemáticas
y en 1 temas más
Sistema de ecuaciones diferenciales con transformada de Laplace
Sin respuestas
Ha preguntado en el tema en
Matemáticas
y en 1 temas más
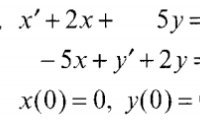
Resolver con la transformada de Laplace el ejercicio de sistema de ecuaciones diferenciales
Sin respuestas
Ha empezado a seguir el tema Ciencias e Ingeniería
Ha empezado a seguir el tema Cálculo
Ha preguntado en el tema en
Matemáticas
y en 1 temas más
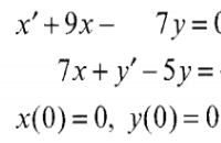
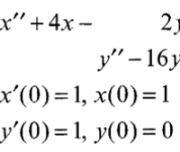
Resolver paso a paso este ejercicio de sistema de ecuaciones diferenciales
Sin respuestas
Ha empezado a seguir el tema Matemáticas
Ha valorado "Excelente" la respuesta
Resuelva lo siguiente mediante la ecuación diferencial de Cauchy – Euler
Sea entonces reemplazamos en la ecuación original
Ha valorado "Excelente" la respuesta
