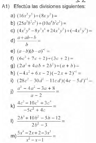
¿Me podrían realizar estos ejercicios (5)?

Con su procedimiento.
2 respuestas
Respuesta de Lucas m
2
Respuesta de Valero Angel Serrano Mercadal
2