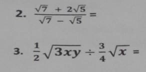
Resolver la siguiente operación con radicales

Buenos días amigos de todo expertos agradezco su ayuda conestas preguntas
1 respuesta
Respuesta de Valero Angel Serrano Mercadal
1