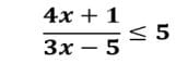
Resuelva la siguiente inecuación y compruebe su solución:
Agradezco la colaboración para Resolver las siguientes inecuaciones y comprobar su solución:

2 respuestas
Respuesta de Lucas m
1
Respuesta de Valero Angel Serrano Mercadal
1