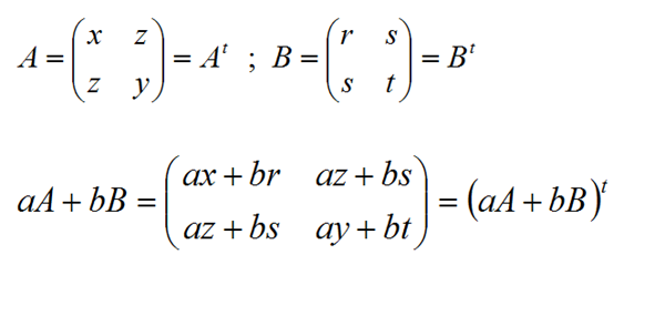
Sea el conjunto N = {Matrices Simétricas Cuadradas N2x2} y sea V el espacio vectorial conformado por las matrices cuadradas M2x2
Demostrar que N es un subespacio del espacio vectorial V.
1 respuesta
Respuesta de Lucas m
1
