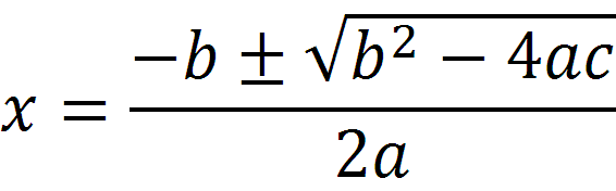
Buen Día a) Una bala se dispara desde el piso formando una trayectoria tipo parábola, donde su ecuación es: y = -x2 + 10x – 20
a) Una bala se dispara desde el piso formando una trayectoria tipo parábola, donde su ecuación es: y = -x2 + 10x – 20.
Resuelve:
¿En qué punto, la bala, alcanzó su altura máxima?
Determina los puntos desde donde fue lanzada la bala, así como el punto en donde cayó.
Respuesta de albert buscapolos Ing°
2
1 respuesta más de otro experto
Respuesta de Jose Bautista
2

