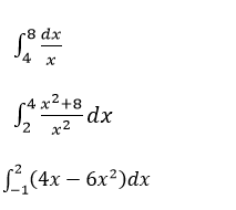
Evalúa las siguientes integrales usando la segunda parte del teorema fundamental del cálculo
Pueden ayudarme con estas integrales usando la segunda parte del teorema fundamental del calculo. Gracias!

2 respuestas
                    Respuesta de Valero Angel Serrano Mercadal                
                
        
        
            
                2
              
        
        
        
            
            
        
    
                
                    Respuesta de Lucas m                
                
        
        
            
                1
              
        
        
        
            
            
        
    
                

 
        