Calcular la siguiente sumatoria: ejercicio de trigonometría
Agradezco su ayuda con la solución del siguiente ejercicio
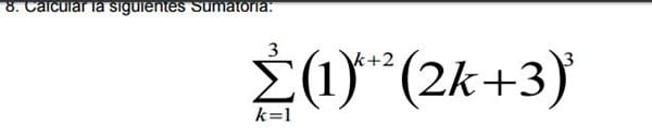
Calcular la siguiente sumatoria

2 respuestas
                    Respuesta de Valero Angel Serrano Mercadal                
                
        
        
            
                1
              
        
        
        
            
            
        
    
                
                    Respuesta de Lucas m                
                
        
        
            
                1
              
        
        
        
            
            
        
    
                

 
        