Como hago este ejercicio de derivadas por definición

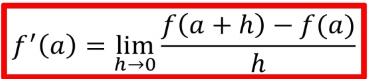
Quiere que use esta formula

¿Cómo lo resuelvo?
1 respuesta
Respuesta
1

Quiere que use esta formula

¿Cómo lo resuelvo?