Rose Vasquez

Rose Vasquez

 Perú @rosevg83 desde - visto
Preguntar

Preguntas

Pregunta en

Integral Indefinida. Propiedades. Fórmulas Básicas. Métodos de Integración

Se sabe que: Cual seria la respuesta: A) Verdadero B) Falso
Pregunta en

Resolución de Problemas - Matriz Hessiana

A) El punto (0;0) es un máximo relativo. B) El punto (0;0) es un mínimo relativo. C) El punto (0;-1) es un máximo relativo. D) El punto (-1;0) es un máximo relativo.
Pregunta en

Considerando la curva definida por la ecuacion y = 2x^3 - 5x +1

Yo he desarrollado la primera parte, no se si esta relacionada con la segunda pero porsiacaso la copio Mi pregunta seria: b) Determine los valores de por para los cuales la recta tangente a la curva dada sea normal a la recta por + y = 3
Pregunta en

Hallar la segunda derivada de la siguiente función

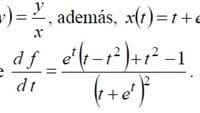
De la siguiente función mostrada xy = 1 Hallar la segunda derivada
Pregunta en

Determine el incremento aproximado - Mate 2

Determine el incremento aproximado del volumen de un cilindro circular recto si su altura aumenta de 10 10,5 cm y su radio aumenta de 5 cm. A 5,3 cm. A) 133,52 cm^3 B) 130,52 cm^3 C) 103,52 cm^3 D) 313,52 cm^3
Pregunta en

Calcular mediante diferenciales el cambio de la siguiente función

Estime mediante diferenciales el cambio de la función A) Disminuye en 7,5 B) Aumenta en 7,5 C) Disminuye en 5,5 D) Aumenta en 5,5
Pregunta en

Determine de qué manera cambiará los trabajadores inexpertos para que la producción no cambie

Utilizando x trabajadores expertos e y inexpertos una fábrica puede producir unidades al día. Actualmente se utilizan 16 expertos y 32 inexpertos y se quiere contratar a un experto más. Determine de qué manera cambiará los trabajadores inexpertos...
Pregunta en

Modelamiento Matemático - Funciones, Constantes, Determinar Verdadero o Falso

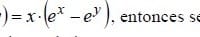
Sea la función dada arriba, se puede determinar si es verdadero o falso lo que expone. Necesitaría la resolución de la función para probar su resultado, muchas gracias
Pregunta en

Modelamiento Matemático - Funciones, derivadas, verdadero o falso

¿Esta afirmación es verdadera o falsa? Necesitaría la resolución de la pregunta también, muchas gracias
Pregunta en

Aproxime el porcentaje de error que se comete al calcular el volumen del cono si se utilizan esas medidas

Se mide el radio y la altura de un cono recto con un error en el radio del 3% y un error en la altura del 2%, aproxime el porcentaje de error que se comete al calcular el volumen del cono si se utilizan esas medidas A) 3% B) 5% C) 8% D) 2%

Suscríbete RSS