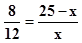
En la figura, ¿Cual es el valor de x?

En la figura, CD es bosectriz del ángulo ACB. ¿Cuál es el valor de x?
Quisiera saber cual es el valor final, lo hice pero no me encuentro segura.
2 respuestas
Respuesta de Luis Alberto Candio Salcedo
1
Respuesta de Valero Angel Serrano Mercadal
1
