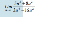
Ejercicios de limites y continuidad solucion

Me ayudan por favor con el siguiente ejercicio de limites
2 respuestas
Respuesta de Lucas m
1
Respuesta de Valero Angel Serrano Mercadal
1