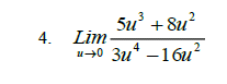
Como resuelvo ese ejercicio del tema limites y continuidad?

2 respuestas
Respuesta de Lucas m
1
Respuesta de Valero Angel Serrano Mercadal
1