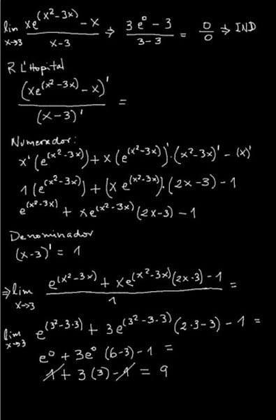
Quiero resolver este límite cuando x tiende a 3, (xe^(x^2-3X)-x)/(x-3)
ayuda por favor, y la explicacion de como hacerlo si no es mucho pedir
2 respuestas
Respuesta de Llaq Kmg
1
Respuesta
-1
